Home
What We Do
Our Team
Research projects
Teaching
Publications
Lab News
Media
Outreach
We're social
Funding
Join us

Lucash Lab

Home
What We Do
Our Team
Research projects
Teaching
Publications
Lab News
Media
Outreach
We're social
Funding
Join us
Melissa Lucash
November 30, 2023

New paper from the TEEL Lab!

Melissa Lucash
November 30, 2023

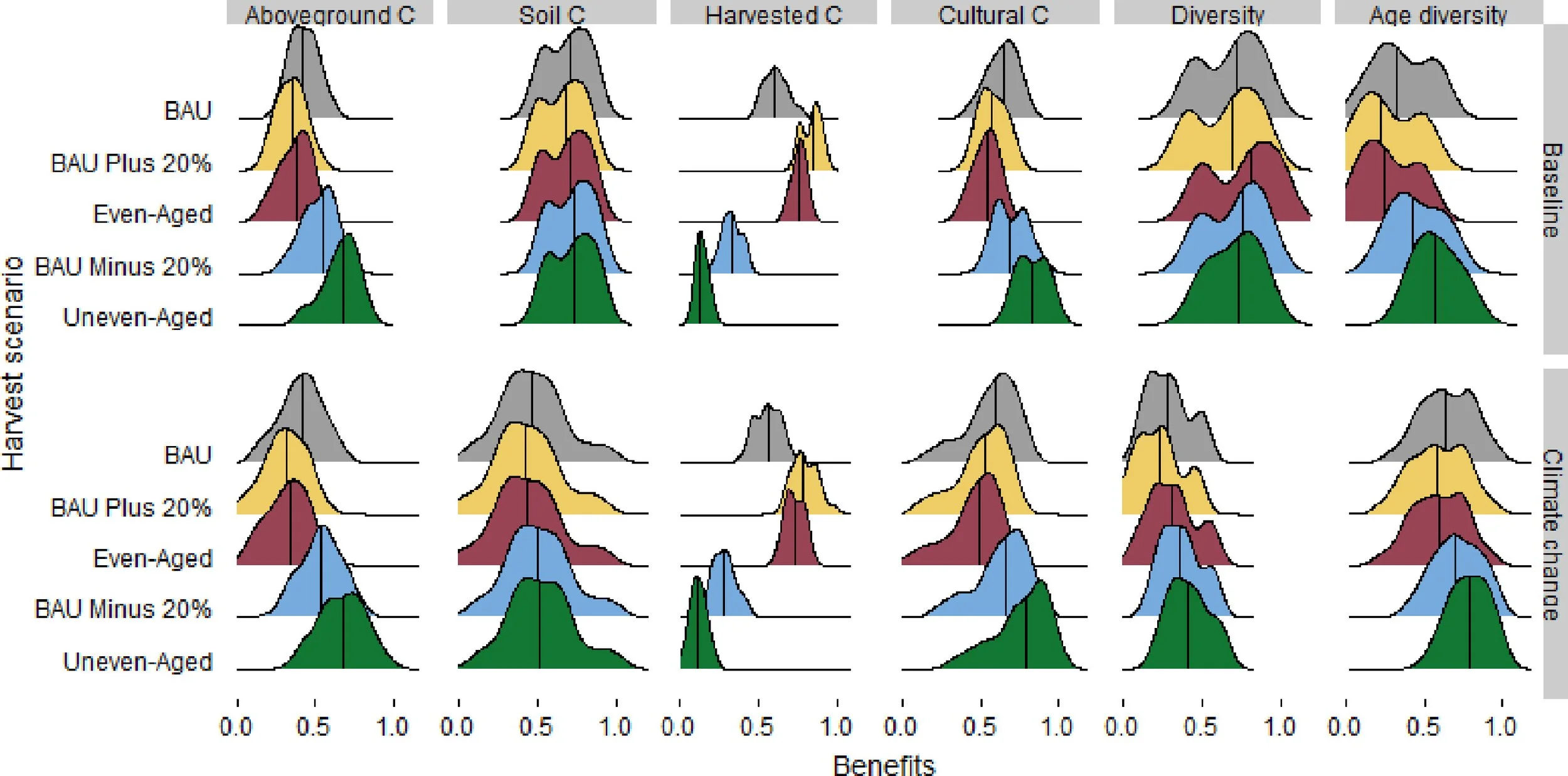
New paper calculating tradeoffs among different harvest strategies- Business as usual (BAU), BAU with more area harvested, clear-cutting only, BAU with less harvested area, and only patchcutting/ecological forestry in central Wisconsin..

https://doi.org/10.1016/j.tfp.2023.100460

Newer PostExcited to head to AGU next week! https://www.agu.org/fall-meeting
Older PostJames passed his oral and written exams!
Back to Top
MelissaLucash
JamesLamping
KailiBrande
TabythaClearwater
LaurenWalker
BryceDiNardo
HadleyKutsko
Contact

Powered by Squarespace